您當前的位置 : 首 頁 >> 産品中心 >> Boc-氨基酸

産品分類

聯系我們Contact Us

江蘇吉泰肽業科技有限公司

聯  系  人 :秦經理

座        機(jī) :0515-84130555

手        機(jī):17705109088

郵(yóu)        箱:info@gtaipeptide.com

地        址:江蘇(sū)省鹽城市濱(bīn)海縣新安大道799号

網(wǎng)        址:www.36467.cn

郵(yóu)        編(biān):224500

er2.png

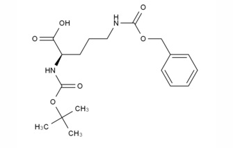
Boc-Orn(Z)-OH

詳細介紹

Boc-Orn(Z)-OH

NΑ-(叔丁氧羰基)-NΔ-苄氧羰基-L-鳥(niǎo)氨酸;(2S)-2-[(2-methylpropan-2-yl)oxycarbonylamino]-5-(phenylmethoxycarbonylamino)pentanoic acid;Nα-(tert-Butoxycarbonyl)-Nδ-carbobenzoxy-L-ornithine

相關标簽: Boc-氨基酸,Boc-Orn(Z)-OH價格,Boc-Orn(Z)-OH批發

在線客服
分享