您當前的位置 : 首 頁 >> 産品中心 >> 其他氨基酸

産品分類

聯系我們Contact Us

江蘇吉泰肽業科技有限公司

聯  系  人 :秦經理

座        機(jī) :0515-84130555

手        機(jī):17705109088

郵(yóu)        箱:info@gtaipeptide.com

地        址:江蘇(sū)省鹽城市濱(bīn)海縣新安大道799号

網(wǎng)        址:www.36467.cn

郵(yóu)        編(biān):224500

er2.png

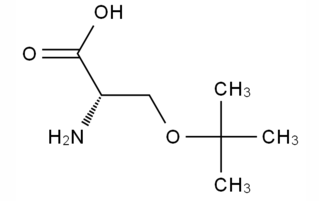
H-Ser(tBu)-OH

詳細介紹

H-Ser(tBu)-OH

O-tert-丁酯-L-絲(sī)氨酸;(2S)-2-amino-3-[(2-methylpropan-2-yl)oxy]propanoic acid; H-O-tert-butyl-L-serine; O-t-Bu-serine; H-Ser(tBu)-OH; H-Ser(But)-OH; L-serine tert-butyl ether

相關标簽: 其他氨基酸,H-Ser(tBu)-OH價格,H-Ser(tBu)-OH批發

上一篇:H-Tyr-OBzl
下一篇:H-β-Ala-OH
在線客服
分享