您當前的位置 : 首 頁 >> 産品中心 >> 保護試劑

産品分類

聯系我們Contact Us

江蘇吉泰肽業科技有限公司

聯  系  人 :秦經理

座        機(jī) :0515-84130555

手        機(jī):17705109088

郵(yóu)        箱:info@gtaipeptide.com

地        址:江蘇(sū)省鹽城市濱(bīn)海縣新安大道799号

網(wǎng)        址:www.36467.cn

郵(yóu)        編(biān):224500

er2.png

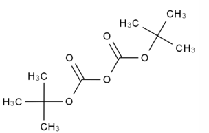
Boc Anhydride

詳細介紹

Boc酸酐;二叔丁基焦碳酸酯;tert-butoxycarbonyl anhydride;Pyrocarbonic Acid Di-tert-butyl Ester

化學式

C10H18O5

熔點

23 °C(lit.)

沸點

65-67 °C

性狀

白色低熔點(diǎn)固體(tǐ);溶解度:insoluble in water

化學穩定性

Moisture Sensitive

有害分解物


MDLNo


分子量

218.25

手性


安全性質

海關(guān)編(biān)碼:29209010 WGK Germany:3 安全說明:S16; S26; S28 RTECS号:HT0230000 危險品标志:T+; Xi; F+

生物活性


理化性質

密度:0.95 g/mL at 25 °C(lit.);閃點(diǎn):99 °F;折射率:n20/D 1.409(lit.);儲(chǔ)存條件:2-8°C

 


相關标簽: 保護試劑,BocAnhydride價格,BocAnhydride批發

上一篇:Boc-ON
下一篇:9-Fluorenylmethanol
在線客服
分享